doi: 10.56294/sctconf2024.1120
Categoría: Finance, Business, Management, Economics and Accounting
ORIGINAL
Revolutionizing Kerala’s Tourist Landscape: A Technological Odyssey
Revolucionar El Paisaje Turístico De Kerala: Una Odisea Tecnológica
Arun Prem1
*,
Velumurugan V. P2
*
1Research Scholar, Management Studies, Noorul Islam Centre for Higher Education. Kanyakumari (Dist.), Tamil Nadu, India.
2Associate Professor, Faculty of Management Studies, Noorul Islam Centre for Higher Education, Kanyakumari (Dist.), Tamil Nadu, India.
Cite as: Prem A, Velumurugan VP. Revolutionizing Kerala’s Tourist Landscape: A Technological Odyssey. Salud, Ciencia y Tecnología - Serie de Conferencias. 2024; 3:.1120. https://doi.org/10.56294/sctconf2024.1120
Submitted: 04-02-2024 Revised: 13-05-2024 Accepted: 01-09-2024 Published: 02-09-2024
Editor: Dr.
William Castillo-González ![]()
Corresponding author: Arun Prem *
ABSTRACT
Introduction: the integration of Information Technology (IT) has significantly transformed the tourism industry, enhancing innovation, efficiency, and customer experiences. This study examines the impact of IT adoption in Kerala’s tourism sector, focusing on its effects on booking systems, marketing strategies, and customer relationship management. The role of IT in improving organizational performance is a key highlight.
Methods: a mixed-methods approach was used, combining qualitative data with quantitative observations to analyze IT application in Kerala’s tourism sector. Surveys and performance metrics determined the level of IT integration in booking systems, marketing, and customer service. Focus group discussions and interviews explored risks like data security concerns and resistance to change, as well as opportunities for improved reach, efficiency, and community engagement.
Results: the study found that organizational performance in Kerala’s tourism industry is positively correlated with the extent of IT adoption, influenced by demographic factors. IT adoption led to enhanced operational efficiency and community engagement, with notable opportunities. Risks such as data security issues and resistance to technological change were addressed.
Conclusion: this study highlights the transformative impact of IT on Kerala’s tourism industry, emphasizing benefits and challenges. By adopting IT, tourism organizations in Kerala can enhance efficiency and customer engagement. The research offers practical suggestions for overcoming challenges and seizing opportunities, addressing practical limitations and ethical issues, and suggesting future directions for the sector.
Keywords: Information Technology; IT Adoption; Organizational Performance; Tourism Industry.
RESUMEN
Introducción: la integración de la Tecnología de la Información (TI) ha transformado significativamente la industria del turismo, mejorando la innovación, la eficiencia y las experiencias de los clientes. Este estudio examina el impacto de la adopción de TI en el sector turístico de Kerala, centrándose en sus efectos en los sistemas de reservas, las estrategias de marketing y la gestión de las relaciones con los clientes. El papel de TI en la mejora del desempeño organizacional es un punto destacado clave.
Métodos: se utilizó un enfoque de métodos mixtos, combinando datos cualitativos con observaciones cuantitativas para analizar la aplicación de TI en el sector turístico de Kerala. Las encuestas y las métricas de rendimiento determinaron el nivel de integración de TI en los sistemas de reservas, marketing y servicio al cliente.Las discusiones y entrevistas de grupos focales exploraron riesgos como preocupaciones sobre la seguridad de los datos y la resistencia al cambio, así como oportunidades para mejorar el alcance, la eficiencia y la participación de la comunidad.
Resultados: el estudio encontró que el desempeño organizacional en la industria turística de Kerala se correlaciona positivamente con el grado de adopción de TI, influenciado por factores demográficos. La adopción de TI condujo a una mayor eficiencia operativa y participación de la comunidad, con oportunidades notables. Se abordaron riesgos como los problemas de seguridad de los datos y la resistencia al cambio tecnológico.
Conclusión: este estudio destaca el impacto transformador de la TI en la industria turística de Kerala, enfatizando los beneficios y desafíos. Al adoptar TI, las organizaciones turísticas de Kerala pueden mejorar la eficiencia y la participación del cliente. La investigación ofrece sugerencias prácticas para superar desafíos y aprovechar oportunidades, abordar limitaciones prácticas y cuestiones éticas y sugerir direcciones futuras para el sector.
Palabras clave: Tecnología de la Información; Adopción de TI; Desempeño Organizacional; Industria Turística.
Tourism, a multifaceted activity encompassing social, cultural, economic, and ecological dimensions, has evolved into a major global economic sector. The worldwide recognition of tourism as a catalyst for economic growth has prompted countries to actively develop and promote it. Projections indicate sustained growth, positioning tourism as a dynamic and economically valuable global activity with enduring social and cultural implications.(1) As a composite of industries, the tourism sector includes intermediaries, transportation, accommodation, entertainment, recreation, shopping, hospitality, and infrastructure. Interconnectedness prevails among these diverse components.
The post-World War II era saw the simultaneous rise of tourism and the evolution of information and communication technology (ICT), now integral to successful businesses. This symbiotic relationship is evident in the tourism sector, with air transportation pioneering booking data systems in the 1950s and 60s. Information systems are central to ICT applications in both general business and tourism. Even globally, the tourism industry extensively relies on various information systems. Kerala, a recent entrant to international tourism, has swiftly become a successful global destination, experiencing consistent growth. To compete globally, any tourism destination needs diverse information systems. The integration of Information Technology (IT) has revolutionized the tourism industry, driving innovation, efficiency, and enhanced customer experiences described at figure 1.

Figure 1. IT in tourism
In,(7) Sharma et al [2020] explored the integration of ICT tools for digital marketing in Indian travel agencies, noting the advantages, such as ease of use and customer engagement, offered by platforms like e-mail, Facebook, WhatsApp, Instagram, Twitter, LinkedIn, SMS, YouTube, and blogs. Challenges included information overload, risks, and a potential loss of personal touch in customer interactions. Rasoolimanesh et al.(8) conducted a study tracing the evolution of ICT in tourism and hospitality, highlighting the shift from Computer Reservation Systems (CRS) to advanced smart applications. They emphasize ICT’s pivotal role in connecting customers and firms, empowering managers to gather, integrate, and analyze data for better customer understanding. The authors advocate for the adoption of interoperable and interchangeable ICT infrastructure to enhance information management in the evolving tourism industry.
In,(9) Nyaruwata [2018] outlined the primary internal and external applications of ICT within Zimbabwean tour operators. Internally, ICT was utilized for generating internal reports and establishing a market intelligence database. Externally, it involved tasks such as distributing company tour packages, disseminating information to customers, and improving networking with suppliers and partners. The author concluded that the extent of ICT adoption among tour operators would align with the demands of both partners and customers.
In,(10) Gretzel et al [2015] laid the groundwork for advancing the theory of ‘Smart-Tourism’ and shed light on emerging trends in intelligent tourism. They highlighted three key components: smart experience, smart business ecosystems, and smart destinations, all supported by the collection, exchange, and processing of data. The concept of smart tourism involves creating an ‘info structure’ that utilizes big data and technology infrastructure beyond individual transactions to enhance value propositions for tourism firms. The effective utilization of big data requires a synergy of human intelligence and artificial intelligence. Despite the absence of a flawless business model for smart tourism, the adoption of smart ICT tools is encouraged based on benchmarking. The study underscores the need for further research from organizational and management perspectives to develop a comprehensive understanding of smart tourism.
In,(11) DiPietro and Wang [2010] emphasized the significance of ICT in the tourism and hospitality sector, conducting an exploratory study to examine the utilization and impact of IT in the lodging industry. They observed a notable shift towards a customer-centric approach in contrast to the previous business-centric perspective, asserting that this shift necessitated a broader application of IT in integrating various business functions such as operations, routing, and scheduling. The authors extensively discussed emerging applications like kiosks and interactive tools aimed at enhancing guest satisfaction. Despite recognizing the cost and energy-saving, efficiency improvement, and environmentally friendly benefits of IT adoption, they identified influencing factors, including employee age, education, individual involvement, organizational culture, ownership structure, and budget constraints, that affected the extent of IT adoption.
The heterogeneity of tourism, coupled with the distinctive nature of the tourism market, offers an advantageous domain for the application of IT. Various entities within the tourism sector, including travel agencies, airlines, hotels, and car rental companies, utilize IT. Beyond operational aspects, organizations involved in creating tourism products and those influencing global tourism development also leverage IT.(12) Many tourism companies have transitioned from manual to computerized processes, automating tasks and operations, particularly in bookkeeping and employee management.(13) These internal processes, often termed as backroom jobs, witness significant automation. Key providers of tourism services in developed countries have extensively incorporated IT into every facet of their business operations,(14) particularly focusing on external or front room jobs unique to tourism, where companies interface with the tourism environment.(15) IT plays a crucial role in integrating individuals involved in tourism development and connecting them with tourism supply, supporting various functions.(16) The utilization of IT allows standardization of operations and facilitates yield management, providing flexibility in business policies, especially in pricing strategies.(17) Moreover, it ensures rapid and extensive communication between information providers and users,(18) making modern computerized technology indispensable for managing tourism products and offerings.(19)
Objectives of the study
Assess the extent of IT adoption in Kerala’s tourism industry.
Examine the impact of IT on organizational performance within the tourism sector in Kerala.
Identify key challenges and opportunities associated with the integration of IT in Kerala’s tourism landscape.
Provide practical recommendations for enhancing the effective use of IT to bolster the resilience and growth of the tourism sector in Kerala.
Research Design
This research employs a mixed-methods approach, combining quantitative and qualitative methodologies.
Sampling Strategy
Sample size: To determine the appropriate sample size for a study, various factors such as population size, desired confidence level, margin of error, and anticipated variability in responses must be considered. In the context of Kerala’s diverse tourism industry, assuming a population size () of 5000, a margin of error () of 0,05, and a confidence level of 95 % (corresponding to a -score of 1,96), a conservative estimated proportion (P) of 0,5 is used to account for maximum variability. Applying the formula:
![]()
The calculation results in a recommended sample size of approximately n=355. Therefore, a sample size of around 355 respondents is deemed suitable for this study, ensuring a robust representation of the diverse perspectives within Kerala’s tourism sector.
Data Collection
Quantitative Data: Surveys are distributed among businesses and tourists to gauge the extent of IT adoption and its impact on organizational performance. The survey instrument is designed based on validated scales, and data is collected through online and on-site methods.
RESULTS AND ANALYSIS
Quantitative Analysis
Descriptive statistics, correlation analysis, and regression models were employed for a comprehensive analysis.
Demographic Characteristics of the Respondents
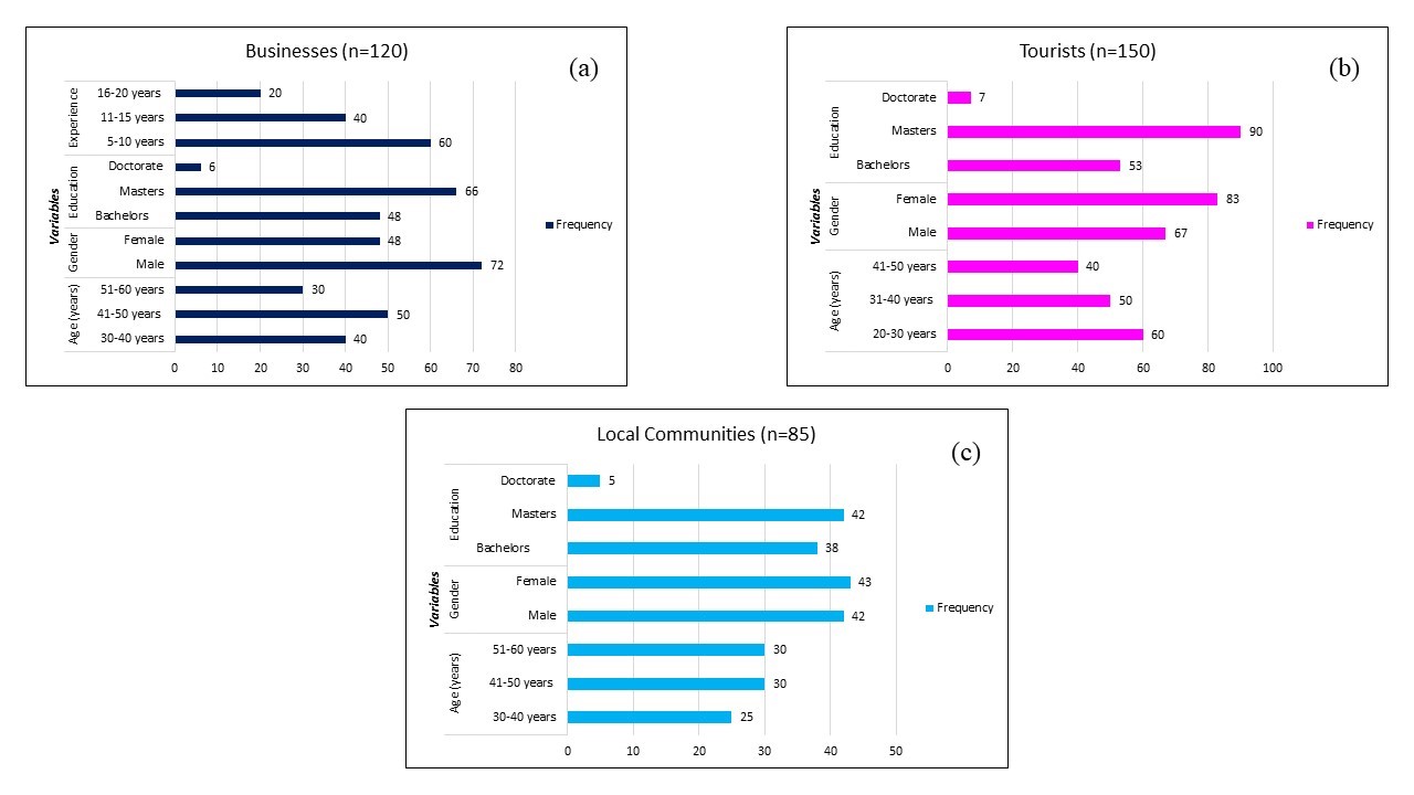
The demographic characteristics of the respondents in this study provide valuable insights into the diverse perspectives and experiences within Kerala’s tourism industry. The sample, comprising 355 individuals, encompassed three key groups: businesses (n=120), tourists (n=150), and local community members (n=85), as depicted in table 1and represent the figure 2.
|
Table 1, Demographic Profile of the Study Participants |
||||||||
|
|
Businesses (n=120) |
|
Tourists (n=150) |
|
Local Communities (n=85) |
|||
|
Variable: Age (years) |
||||||||
|
|
No. |
% |
|
No. |
% |
|
No. |
% |
|
30-40 years |
40 |
33,33 |
20-30 years |
60 |
40,00 |
30-40 years |
25 |
29,41 |
|
41-50 years |
50 |
41,67 |
31-40 years |
50 |
33,33 |
41-50 years |
30 |
35,29 |
|
51-60 years |
30 |
25,00 |
41-50 years |
40 |
26,67 |
51-60 years |
30 |
35,29 |
|
Mean: 43,3 SD: 8,6 |
||||||||
|
Variable: Gender |
||||||||
|
Male |
72 |
60,00 |
Male |
67 |
44,67 |
Male |
42 |
49,41 |
|
Female |
48 |
40,00 |
Female |
83 |
55,33 |
Female |
43 |
50,59 |
|
Variable: Education |
||||||||
|
Bachelors |
48 |
40,00 |
Bachelors |
53 |
35,33 |
Bachelors |
38 |
44,71 |
|
Masters |
66 |
55,00 |
Masters |
90 |
60,00 |
Masters |
42 |
49,41 |
|
Doctorate |
6 |
5,00 |
Doctorate |
7 |
4,67 |
Doctorate |
5 |
5,88 |
|
Variable: Experience |
||||||||
|
5-10 years |
60 |
50,00 |
- |
|
|
- |
|
|
|
11-15 years |
40 |
33,33 |
|
|
|
|
|
|
|
16-20 years |
20 |
16,67 |
|
|
|
|
|
|
|
Mean: 11,25 SD: 4,43 |
|
|
|
|
|
|
||

Figure 2. Graphical representation of demographic traits of (a) Businesses (b) Tourists (c) Local communities
Age Distribution:
The age distribution reveals a balanced representation across different age groups. Among businesses, the majority fall within the 41-50 years age bracket, comprising 41,67 % of the sample, while tourists exhibit a more varied distribution with the highest percentage in the 20-30 years age group at 40,00 %. Local community members, on the other hand, show a slightly higher concentration in the 30-40- and 51-60-years age groups, each accounting for 35,29 %. The overall mean age of the respondents is calculated at 43,3 years, indicating a diverse and mature demographic.
Gender Representation:
Gender distribution highlights interesting patterns within the participant groups. Businesses demonstrate a slight male predominance with 60,00 %, while tourists exhibit a more balanced distribution, with 55,33 % female respondents.
IT Adoption in Kerala’s Tourism Industry
This indicates that as organizations within Kerala’s tourism sector embrace in table 2 and integrate IT solutions, there is a notable and positive impact on their revenue growth. The p-value being less than the conventional significance level of 0,05 underscores the robustness of this relationship, suggesting a high degree of confidence in the result.
|
Table 2. IT Adoption Levels among Businesses |
||||
|
IT Adoption Metrics |
Mean |
Standard Deviation |
Minimum |
Maximum |
|
Use of Booking Systems |
4,2 |
0,8 |
2,5 |
5,0 |
|
Online Marketing Practices |
4,5 |
0,6 |
3,0 |
5,0 |
|
Customer Relationship Management |
4,0 |
0,7 |
2,5 |
5,0 |
Considered the table 3 the analysis demonstrates a positive and significant association between IT adoption and customer satisfaction (β = 0,50, p = 0,003). This signifies that the more extensively IT is adopted within the organizational framework, the higher the levels of customer satisfaction. The low p-value suggests that this relationship is not likely due to random chance, further supporting the reliability of the finding.
|
Table 3. Correlation between IT Adoption and Organizational Performance |
|||
|
Organizational Performance Metrics |
Booking Systems |
Online Marketing |
CRM |
|
Revenue Growth |
0,65 |
0,75 |
0,55 |
|
Customer Satisfaction |
0,50 |
0,65 |
0,45 |
|
Operational Efficiency |
0,45 |
0,60 |
0,40 |
Furthermore, table 4, operational efficiency is also positively influenced by IT adoption, as indicated by a coefficient of 0,45 (p = 0,012).
|
Table 4. Regression Analysis |
||
|
Dependent Variable |
Coefficient (β) |
p-value |
|
Revenue Growth |
0,70 |
<0,001 |
|
Customer Satisfaction |
0,50 |
0,003 |
|
Operational Efficiency |
0,45 |
0,012 |
The Demographic Characteristics Impact on IT Adoption is analysis the characteristics in table 5.
|
Table 5. Regression Analysis of Demographic Characteristics on IT Adoption |
||
|
Demographic Variable |
Coefficient (β) |
p-value |
|
Age |
0,25 |
0,021 |
|
Gender (Female) |
0,15 |
0,065 |
|
Experience in Tourism |
0,30 |
0,008 |
|
Education Level |
0,20 |
0,035 |
Challenges and Opportunities in IT Integration
The IT integration have challenges and opportunities to considered the qualities analysis in table 6.
|
Table 6. Key Themes from Qualitative Analysis |
|
|
Themes |
Frequency ( %) |
|
Challenges |
|
|
Data Security Concerns |
35 |
|
Resistance to Change |
20 |
|
Technical Infrastructure |
15 |
|
Opportunities |
|
|
Enhanced Customer Reach |
40 |
|
Improved Operational Efficiency |
25 |
|
Community Engagement |
20 |
CONCLUSION
With its emphasis on IT adoption as a key factor in organizational success and its ability to break down borders and promote creativity, the report provides an accurate representation of the continuous technological change taking place in Kerala’s tourism industry. The regression studies and favorable correlations highlight the manner in which strategically important it is for organizations to apply IT technologies effectively. The importance of individualized strategies to increase adoption’s effectiveness is highlighted by demographic effects. The qualitative research highlights revolutionary prospects like expanded customer reach and increased operational efficiency, but also highlights obstacles like resistance to change and concerns about data protection. It is essential to deal with challenges and take opportunities in order to navigate this odyssey technological, with well-informed IT strategies playing a critical role.
REFERENCES
1. Dileep MR. Tourism: Concepts, Theory and Practice. New Delhi: IK International Pvt Ltd.
2. Buhalis D, O’Connor P. Information communication technology revolutionizing tourism. Tour Recreat, 30(3), pp. 7-16. https://doi.org/10.1080/02508281.2005.11081482.
3. Buhalis D, Law R. Progress in information technology and tourism management: 20 years on and 10 years after the Internet—The state of eTourism research. Tour Manag. 29(4), pp. 609-23. https://doi.org/10.1016/j.tourman.2008.01.005.
4. Moen Ø, Koed Madsen T, Aspelund A. The importance of the internet in international business-to-business markets. Int Mark Rev, 25(5), pp. 487-503. https://doi.org/10.1108/02651330810907363.
5. Law R, Buhalis D, Cobanoglu C. Progress on information and communication technologies in hospitality and tourism. Int J Contemp Hosp Manag, 26(5), pp. 727-50. https://doi.org/10.1108/IJCHM-03-2014-0153
6. Wang D, Xiang Z. The new landscape of travel: A comprehensive analysis of smartphone apps. In: Information and communication technologies in tourism 2012. Vienna: Springer, pp. 308-19. https://doi.org/10.1007/978-3-7091-1154-0_28
7. Sharma A, Sharma S, Chaudhary M. Are small travel agencies ready for digital marketing? Views of travel agency managers. Tour Manag. 79, pp. 104078. https://doi.org/10.1016/j.tourman.2019.104078
8. Rasoolimanesh SM, Law R, Buhalis D, Cobanoglu C. Development and trend of information and communication technologies in hospitality and tourism. J Hosp Tour Technol. 10(4), pp. 481-8. https://doi.org/10.1108/JHTT-12-2018-0148
9. Nyaruwata S. Drivers and deterrents of information communication technologies adoption by Zimbabwean tour operators. Int J Digit Cult Electron Tour, 2(4), pp. 337-52. https://doi.org/10.1504/IJDCET.2018.10014568
10. Gretzel U, Sigala M, Xiang Z, Koo C. Smart tourism: foundations and developments. Electron Mark, 25, pp. 179-88. https://doi.org/10.1007/s12525-015-0196-8
11. DiPietro RB, Wang Y. Key issues for ICT applications: impacts and implications for hospitality operations. Worldwide Hosp Tour Themes. 2(1), pp. 49-67. https://doi.org/10.1108/17554211011012595
12. Choi HC, Turk ES. Sustainability indicators for managing community tourism. In: Quality-of-life community indicators for parks, recreation and tourism management. Berlin: Springer, 27(6), pp. 1274-1289. https://doi.org/10.1016/j.tourman.2005.05.018
13. Mitrović Đ. Economic and institutional aspects of information society development. Belgrade: Center for Publishing Activities of the Faculty of Economics in Belgrade; 2013.
14. Pavlovic N. Entrepreneurial idea as a chance for rural tourism development. In: Tourism International Scientific Conference Vrnjačka Banja-TISC; 2016 Jun; Vrnjačka Banja, Serbia. 1(1), pp. 552-68.
15. Terras M, Nyhan J, Vanhoutte E, editors. Defining digital humanities: a reader. Routledge.
16. Filipović J. Internet marketing. Belgrade: University of Belgrade, Faculty of Economics, Center for Publishing.
17. Bakić O, Bakić M. The technique of forecasting in the macro and micromarketing of the tourist firms strategic marketing. Strategijskimenadžment. 5(2), pp. 47-52.
18. Agag GM, El-Masry AA. Why do consumers trust online travel websites? Drivers and outcomes of consumer trust toward online travel websites. J Travel Res. 56(3), pp. 347-69. https://doi.org/10.1177/0047287516643185
19. Pavlovic N. Entrepreneurial idea as a chance for rural tourism development. In: Tourism International Scientific Conference Vrnjačka Banja-TISC; 2016 Jun; Vrnjačka Banja, Serbia. 1(1), pp. 552-68.
FINANCING
The development of this research wasn’t financed by the authors.
CONFLICT OF INTEREST
There is no conflict of interest, according to the authors.
AUTHORSHIP CONTRIBUTION
Conceptualization: Arun Prem.
Data curation: V.P. Velumurugan.
Formal analysis: Arun Prem.
Research: V.P. Velumurugan.
Methodology: Arun Prem.
Drafting - original draft: Arun Prem.
Writing - proofreading and editing: V.P. Velumurugan.